Hierarchical Bayesian inference for uncertainty quantification of thermal grease rheology
Hierarchical Bayesian inference for uncertainty quantification of thermal grease rheology
| Event Date: | August 7, 2025 |
|---|---|
| Authors: | P. Nagrani, A.J. Thomas, A. Marconnet, and I.C. Christov |
| Journal: | Journal of Rheology |
| Paper URL: | Link to Full Text |
P. Nagrani, A.J. Thomas, A. Marconnet, and I.C. Christov, Journal of Rheology, 69, 677-692, 2025.
DOI: 10.1122/8.0001008
Preprint available on the ArXiv
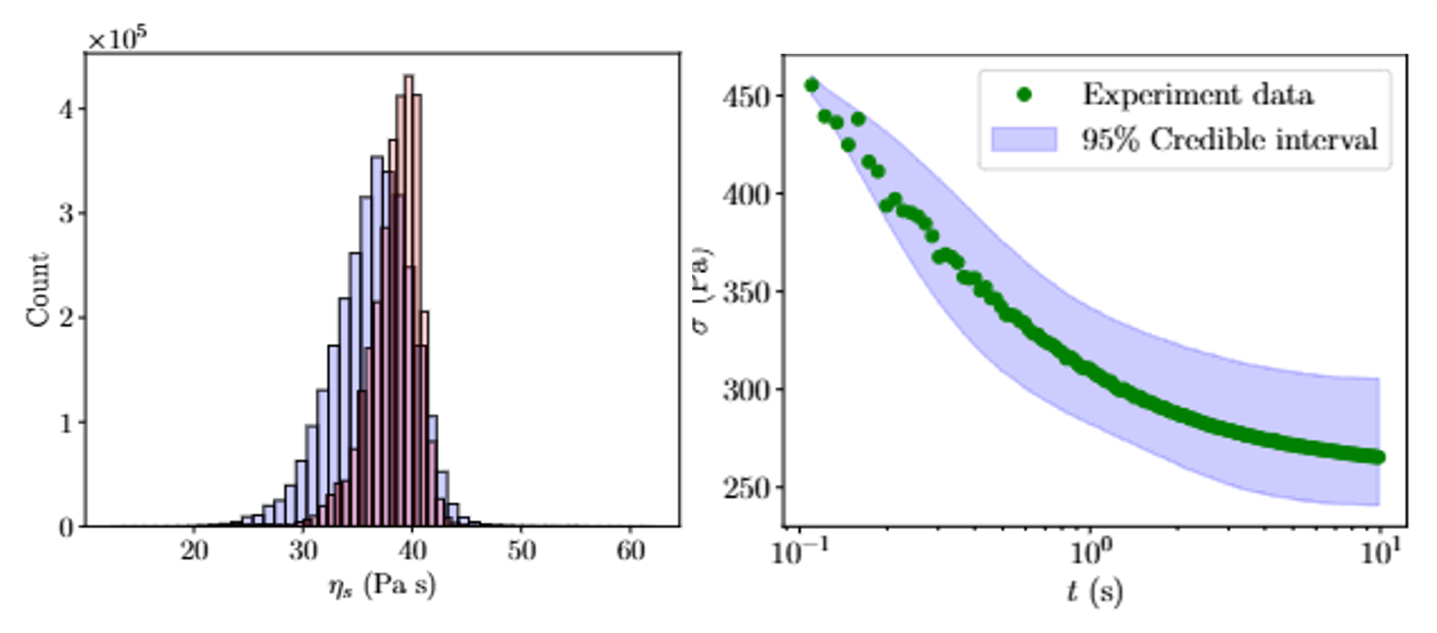
Rheologically complex soft solids such as thermal greases consist of filler particles within a polymer matrix. These materials find applications in improving the conformity of solid-solid contacts and enhancing heat transfer. Complex soft solids exhibit a transient non-Newtonian rheological response, including thixotropy and viscoelasticity. Previously, stress relaxation and buildup in sheared commercial thermal greases were successfully captured using a nonlinear elasto-visco-plastic (NEVP) model and a thixo-elasto-visco-plastic (TEVP). However, the previous model calibration methods ignored parameter uncertainty, providing only single values of the rheological parameters, and did not quantitatively address the chosen model's identifiability from the data or credibility of the calibration. We address these limitations via hierarchical Bayesian inference, accounting for uncertainties arising from epistemic and aleatoric sources. Importantly, the hierarchical approach allows us to assimilate experiments measuring the stress responses at various startup shear rates by allowing the models' parameters to vary across different shear rates. Then, a global distribution and the associated uncertainty are obtained by pooling. We also propagate uncertainties to the transient shear stress response predicted by the models. Overall, we demonstrate that the chosen NEVP and NEVP models are identifiable from rheometric startup data. However, for the TEVP model, the uncertainty of the parameters is lower (narrower distributions) when higher shear rates are used for inference.
The data that support the findings of this study are openly available in a repository archived at https://dx.doi.org/10.5281/zenodo.15616035.
