Skip navigation

Modelling of HZO based Ferroelectric Devices

CMOS compatibility and the scale-free nature of ferroelectricity in Hafnium-Zirconium-Oxide (HZO) have propelled Ferroelectric devices - FE capacitors, FeFETs, FTJs (Fig.1) -into the research limelight. They are shown as promising candidates for various emerging and in-demand applications – non-volatile memories, neuromorphic computing, and steep-slope transistors. Developing comprehensive models capturing the underlying physical aspects of the devices is crucial in optimizing for various applications. Such comprehensive models also play a key role in understanding the mechanisms behind the device's operation.

Fig. 1 Various device structures considered in phase-field modelling. a) FE(AFE)FET b) MFIM and c) MFIS capacitors

In our lab, we develop comprehensive models in a phase-field manner for HZO-based devices capturing various physical characteristics of HZO – multi-domain formation, polycrystallinity, and the effect of dopant concentration (Zr-concentration).  In our model we self consistently capture the effects of various energy components – free energy, gradient energy, depolarization energy. Using this, we explain the formation of multi-domain as the interplay between gradient and depolarization energies (Fig. 2).

Fig 2. a) Potential profile of MFIM stack showing the depolarization-field and the resulting multi-domain formation

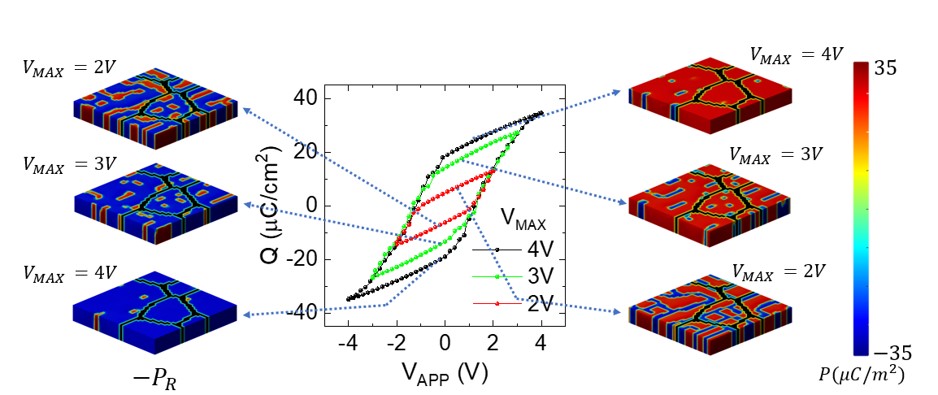
             b) Q-V loops showing major and minor loops and a good match between experiments and simulation results

Leveraging the self-consistent approach followed in our model we provide insights into experimental trends and dependencies of crucial design parameters. We have showed an increase in domain density with the scaling of FE thickness (Fig. 3) and its impact on stochasticity and variations of FE devices. Our models also self-consistently captures the different polarization switching mechanisms (Domain wall motion and domain nucleation) and the dependence on domain density.

Fig 3. Polarization profiles at 0V in a) 2D and b) 3D showing the dependence of domain density on Ferroelectric layer thickness (T_FE).

Fig 4. a) Polarization switching in FeFET via combination of domain nucleation and DW motion. b) Potential profiles in FeFET showing the non-uniform potential in the channel due to multi-domain polarization structure.

Using our model, we are able to predict and explain the enhanced capacitance observed in FE based MFIS stacks compared to the high-k materials (Fig. 4). We also capture the Polarization accumulation and relaxation behavior of HZO with Voltage pulses mimicking the leaky-integrate-and-fire behavior of neurons which is crucial in neuromorphic computing. And further we are also able to provide alternative understanding to the formation of minor loops via partial polarization switching across the grains. Further, we utilize the understandings from our comprehensive models to develop the circuit-compatible and SPICE models so as to analyze the impact of various characteristics on the performance of circuits ranging from neurons, synapse to multi-state memories. 

Fig. 5. a) C-V characteristics of MFIS stack showing higher-κbehavior of FE layer compared to MOS capacitor. b) Two dipole scenario describing the enhanced-ϵ_rin FE.

Fig. 6. a) Simulated transient Pfor a sequence of Voltage pulses. b) P-profiles at points marked on the graph in (a) showing the spontaneous relaxation and excitation in polarization domains.

Fig. 7. Q-V loops showing the formation of major and minor loops and the underlying Polarization profile diagrams showing partial polarization switching across the grains.