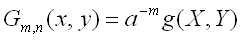
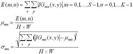
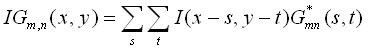
Gabor filter-bank