ME 200 – Thermodynamics I – Spring 2020

Homework 7: Properties for Real Fluids

Question (a)

Pasta is boiling in water within a pan on the stove. For which of the following will the pasta cook the fastest: (a) uncovered, (b) covered with a light lid, (c) covered with a heavy lid. Explain! Include a sketch and any relevant basic equations to support your explanation.

Answer

The following diagram depicts the situation. Without the lid, the boiling point of the water is the saturation temperature of water at the atmospheric pressure. This would be equivalent to a "massless" lid that allows vapor to escape as the lid "floats" at the top of pan during the boiling process with heat transfer occurring from the stove to the pan. At standard atmospheric conditions, the saturation temperature is approximately $100°C$. If a lid is added, then the pressure inside of the pan must increase to allow the lid to float and for water vapor to escape. The heavier the lid, the higher the pressure must be to allow vapor to escape. Since saturation temperature increases with pressure, then pasta will cook faster with the heavier lid and higher boiling temperature.

Question (b)

A griller buys a lighter for the barbecue that contains a saturated liquid-vapor mixture of butane in a fixed volume that is initially at a temperature of 20°C. The lighter is taken outside the store where the temperature is 0°C. Comment on how the following butane properties change after the lighter is removed from the store: 1) temperature, 2) pressure, 3) specific volume, 4) internal energy. Be sure to support your answers with thermodynamic reasoning and/or relevant basic equations.

Answer

Heat transfer occurs from the butane lighter to the colder surroundings after it is taken outside. As a result, its temperature decreases as it comes into thermal equibrium with the new environment. Since it is a SLVM mixture, then the pressure also decreases because saturation pressure decreases with temperature. Since volume and mass are both fixed, then the specific volume remains the same. Based on an energy balance, the internal energy must decrease since heat transfer is out of the system, there is no work, and there are no changes in kinetic and potential energy.

$$\Delta U_{12} + \Delta KE_{12} + \Delta PE_{12} = Q_{12} - W_{12} \rightarrow \Delta U_{12} = -Q_{out} < 0$$

Thus,

$$T_2 < T_1, P_2 < P_1, v_2 = v_1, U_2 < U_1$$

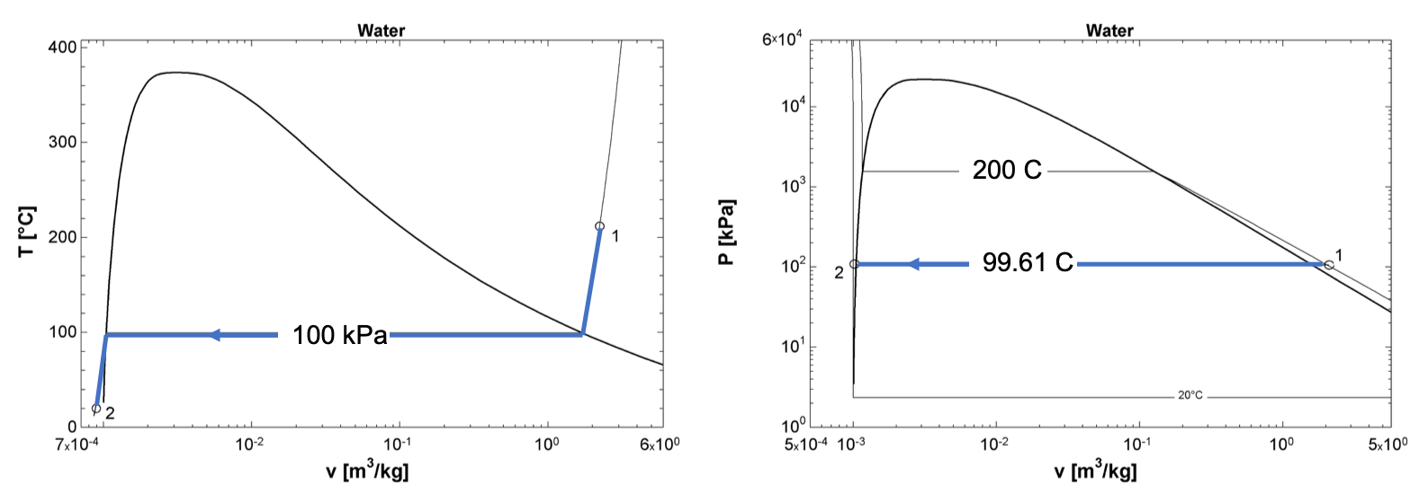
Question (c)

Consider a closed piston cylinder that contains superheated water vapor at 200°C and 100 kPa. The cylinder is cooled and the piston moves such that the pressure remains constant. At the end of the cooling process, the water in the cylinder is a compressed liquid at 20°C and 100 kPa. Depict the process on both T-v and P-v diagrams including the saturation dome and labeling the beginning and end points as 1 and 2. With the water as the system, is the work positive or negative for this process? Explain why. Include a sketch of the system that depicts the forces and energy flows involved in the process. Support your explanation with relevant basic equations.

Answer

The pressure remains constant when heat transfer occurs to the surroundings because the piston is allowed to move to maintain a static force balance. In order to have a pressure of 100 kPa in the cylinder, the mass of the piston must be negligible. The work is done on the system because the volume is decreasing.

$$W_{12} = \int\limits_{V_1}^{V_2}{PdV}=P(V_2-V_1)<0$$

Following are T-v and P-v diagrams showing the process based on real fluid properties. Note that state 2 is in the compressed liquid region.

Question (d)

Consider a closed rigid tank that contains saturated water vapor at 150°C. The tank is cooled such that the final temperature of the water is 20°C. Depict the process on both T-v and P-v diagrams including the saturation dome and labeling the beginning and end points as 1 and 2. With the water as the system, is the work positive or negative for this process? Explain why. Include a sketch of the system that depicts the energy flows.

Answer

The only energy flow is a heat transfer from the system to the surroundings. Since the volume is fixed (rigid tank) and the system is closed (mass is fixed), then the specific volume is constant and the process line is vertical on a T-v or P-v diagram. Both temperature and pressure decrease as a result of the heat transfer. The final state is SLVM.

The system is rigid and therefore there is no boundary work. Also, there is no other work device for this system, so the work is zero.

Question (e)

Consider a closed piston cylinder that contains superheated water vapor at 150°C and 100 kPa. Heat transfer out of the system occurs with varying water pressure in a manner such that the temperature remains constant. At the end of this process, the water in the cylinder is a compressed liquid at 150°C and 600 kPa. Depict the process on both T-v and P-v diagrams including the saturation dome and labeling the beginning and end points as 1 and 2. With the water as the system, is the work positive or negative for this process? Explain why. Include a sketch of the system that depicts the forces and energy flows involved in the process.

Answer

Heat transfer is out of the system, so there must be work done on this closed system in order for the temperature of a superheated vapor to remain constant. This is in the form of boundary work where the volume decreases (negative work). Furthermore, decreasing volume at constant temperature implies increasing pressure in the superheated region for this process. Once the vapor begins to condense, a constant temperature implies that the pressure is constant. Boundary work continues to be done on the system, but it occurs at constant pressure as heat is rejected. Once all of the vapor is gone, then the pressure must increase to keep temperature constant as heat rejection occurs. The overall isothermal process from superheated vapor to compressed liquid is shown on both a T-v and P-v diagram below.